博客

  • 日报33

    倒计时
    距春节还有 00 小时 0 分钟 0

    作业

    科目正文
    语文卷子1套:
    初中学业水平模拟考试(一)
    数学一轮总复习65-80页:
    第二十二章 二次函数
    第二十三章 旋转
    第二十四章 圆
    卷子1张:
    运算六
    运算七
    运算八
    英语试题优化30-35页:
    Section B
    同步解析与测评186-191页:
    Section A
    物理卷子1套:
    2024-2025学年九年级上物理期末测试题(一)
    化学试题优化的卷子187-194页:
    自我评价(九) 溶液
    历史卷子3张:
    (20)九年级下册•第一单元殖民地人民的反抗与资本主义制度的扩展
    (21)九年级下册•第二单元第二次工业革命和近代科学文化
    道法
    作业
  • 日报32

    倒计时
    距春节还有 00 小时 0 分钟 0

    作业

    科目正文
    语文卷子1套:
    期末学业质量监测
    数学一轮总复习85-88页:
    第二十六章 反比例函数
    卷子1张:
    运算五
    英语教材103页:
    2c
    物理试题优化59、60页:
    第二十章 电与磁 素养专练
    卷子1张:
    九年级物理上学期13-19章复习
    化学试题优化42、43页:
    实验活动7
    随堂评估150、151页:
    实验活动7
    教材35、36、44、45、49、50、52、53、54页:
    练习与应用、整理与提升
    历史
    道法
    作业
  • 日报31

    倒计时
    距春节还有 00 小时 0 分钟 0

    作业

    科目正文
    语文卷子1张:
    专项素养测评(六)
    数学一轮总复习89-92页:
    第二十七章 相似
    英语试题优化26-29页:
    Section A
    物理试题优化57、58页:
    第5节 磁生电
    化学试题优化38-41页:
    实验活动6
    随堂评估146-149页:
    实验活动6
    历史
    道法
    作业
  • 日报30

    倒计时
    距春节还有 00 小时 0 分钟 0

    作业

    科目正文
    语文
    数学一轮总复习93-96页:
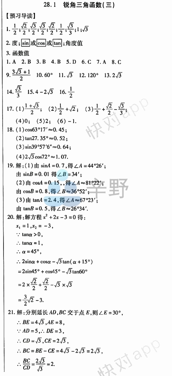
    第二十八章 锐角三角函数
    第二十九章 投影与视图
    英语
    物理试题优化55、56页:
    第4节 电动机
    教材137页:
    动手动脑学物理
    卷子1张:
    九年级物理上学期13-19章复习
    化学试题优化35-37页:
    课题3 溶质的质量分数
    随堂评估143-145页:
    溶质的质量分数
    历史
    道法同步解析与测评1-12页:
    第一课 踏上强国之路
    作业
  • 日报29

    作业

    科目正文
    语文
    数学全练85-92页:
    期末测试卷
    英语
    物理试题优化53、54页:
    第3节 电磁铁 电磁继电器
    化学试题优化92-94页:
    专项二 溶解度曲线
    历史
    道法同步解析与测评107-117页:
    第八课 中国人 中国梦
    作业
  • 巧手堆砌庆盛会,亚冬风采映校园 ‍嫩江三中校园冰雪创意实践活动暨雪雕比赛活动简报

    随着亚冬会脚步的日益临近,为迎接这一冰雪体育盛会,弘扬冰雪文化,激发学生创新思维和团队协作能力,嫩江三中特举办校园冰雪创意实践活动暨雪雕比赛。此次活动旨在通过雪雕创作,展现学生们对冰雪艺术的热爱与追求,同时培养学生的审美情趣和实践能力,为校园文化生活增添一抹亮丽的色彩。

    一、启动仪式‍冰雪盛典,梦想启程

    在冬日的序曲中,嫩江三中校园冰雪创意实践活动暨雪雕比赛正式启动。学校提前部署、精心规划,为活动的成功举办奠定了坚实基础。为确保活动的顺利进行,班主任带领学生们制定了详细的分工计划,从雪雕材料的准备到制作工具的分配,每一项任务都明确到相应的责任人。学生们在冰雪世界里尽情挥洒创意,展现自我,他们用手中的工具与心中的创意,在洁白的雪地上雕琢出一件件美轮美奂、独具匠心的雪雕作品。

    在创作的同时,学生之间也建立了紧密的协作关系,大家相互帮助,共同解决制作过程中遇到的问题。这种团结协作的精神,不仅提高了工作效率,也增进了同学们之间的友谊。

    二、点评活动‍雪雕争艳,理念交锋

    随着雪雕作品的逐渐成型,点评活动随之展开。七位评委穿梭于各班雪雕作品之间,认真聆听学生代表对本班雪雕设计理念的阐述与意义的解读。解说员们以清晰流畅的语言介绍了雪雕的创作过程,并分享了创作背后的故事与灵感来源。评委们认真倾听,不时点头赞许,对学生们的创意与才华给予高度评价。

    三、颁奖仪式‍荣耀时刻,寄语未来

    经过评委组公开公平公正的评比,最终评选出最有创意的优秀作品。颁奖仪式上,学校领导班子成员为获奖班级颁发奖状和奖品。这次活动不仅肯定了学生们在比赛中的优异表现,更强调了创新精神和实践能力对于青少年成长的重要性。这种鼓励和支持,将激励更多的学生积极参与到类似的活动中来。

    随后,学生代表七年三班廉洁同学上台发言,分享了参与活动的感悟与收获。她的话语中充满了对团队合作的珍视,对冰雪艺术的热爱,以及对未来无限可能的憧憬。每一句话,都传递着嫩江三中莘莘学子积极向上的精神风貌。

    雪雕比赛虽已圆满落幕,但学生们对冰雪艺术的热爱与追求却永不止步。此次活动,学生们不仅感受到了团队合作与勇于创新的重要性,还提升了自己的审美情趣和实践能力。相信在未来的日子里,他们将继续怀揣梦想、勇往直前,在冰雪的世界里书写更加辉煌的篇章。

    策划:黄晓雪‍

    编辑:黄晓雪‍

    一审:李春涛‍

    二审:马双成‍

    三审:贾道成

    本文转载自嫩江市第三中学校,原文链接:https://mp.weixin.qq.com/s/0WsrzMv390IT1hEZ-DduFQ

  • 日报28

    作业

    科目正文
    语文卷子1张:
    第六单元素养测评
    数学全练59-68页:
    28.2 解直角三角形及其应用
    专题一 求锐角的三角函数值
    卷子3张:
    期末卷(一)
    期末卷(二)
    运算
    英语试题优化18-23页:
    Section B
    教材95、96页:
    2d
    Self Check
    物理卷子1套:
    初三物理试题
    化学试题优化31-34页:
    第2课时 物质的溶解度 溶解度曲线
    随堂评估141、142页:
    物质的溶解度 溶解度曲线
    历史卷子6张:
    中考123
    道法
    作业
  • 日报25

    作业

    科目书面背诵
    语文
    数学
    英语试题优化5-10页
    物理试题优化41、42页
    化学
    历史
    道法全过程人民民主的意义、怎样理解绿水青山就是金山银山、哈尔滨举办亚冬会的意义写在作业本上
    作业